Area Enclosed by Ellipse with Function (xy)^2(x3y)^2=1 2x^{2}4xy2y^{2}5\left(xy\right)3 Use the distributive property to multiply 2 by x^{2}2xyy^{2} 2x^{2}4xy2y^{2}5x5y3 Use the distributive property to multiply 5 by xy Examples Quadratic equationSimple and best practice solution for 5(2x1)2(3y)=5 equation Check how easy it is, and learn it for the future Our solution is simple, and easy to understand, so don`t hesitate to use it as a solution of your homeworkFind the equation of the line drawn through the point of intersection of the lines 2 x − 3 y = 0 and 4 x − 5 y = 2 and which is perpendicular to the line x 2 y 1 = 0 Medium View solution
1 2 3x 4y 1 5 2x 3y 1 4 Amp 5 3x 4y 2 2x 3y 3 2 Problem Set 1 Q6 5 Youtube
5/x-3/y=1 3/2x+2/3y=5
5/x-3/y=1 3/2x+2/3y=5-Step by step solution of a set of 2, 3 or 4 Linear Equations using the Substitution Method x=2y3;2x3y=5 Tiger Algebra SolverWeekly Subscription $199 USD per week until cancelled Monthly Subscription $699 USD per month until cancelled Annual Subscription $2999 USD per year until cancelled



Reduce The Equation 2x 3y 5 0 To Slope Intercept Form And Find From It The Slope And Y Intercept Youtube
Step by step solution of a set of 2, 3 or 4 Linear Equations using the Substitution Method x/3y/5=1/5;2x/33y/4=5 Tiger Algebra SolverMove all terms containing x to the left, all other terms to the right Add '3y' to each side of the equation 2x 3y 3y = 5 3y Combine like terms 3y 3y = 0 2x 0 = 5 3y 2x = 5 3y Divide each side by '2' x = 25 15y Simplifying x = 25 15ySolve the following simultaneous equations using Cramer's rule2x 3y = 2;
Steps for Solving Linear Equation 2x3y = 5 2 x 3 y = 5 Subtract 3y from both sides Subtract 3 y from both sides 2x=53y 2 x = 5 − 3 y Divide both sides by 2 Divide both sides by 2Solve for X and Y `5/X 3/Y = 1, 3/(2x ) 2/(3y) = 5` CBSE CBSE (English Medium) Class 10 Question Papers 6 Textbook Solutions Important Solutions 3111 Question Bank Solutions 334 Concept Notes & Videos 262 Time Tables 12 Syllabus Advertisement Remove all ads5/x 3/y = 1 3/2x 2/3y = 5 linear equations in two variables;
We are given that x = 3 and y = 5 We have to determine by how much the value of 3x^2 2y exceeds that of 2x^2 3y 3x^2 2y (2x^2 3y) => 3x^2 2y 2x^2 3yX chia 2 = y chia 3 = z chia 5 và 2x 3y 5z = 6 Cho tam giác đều ABC Tia phân giác của góc B cắt AC ở M Từ A kẻ đường thằng vuông góc với AB cắt các tia BM và BC lần lượt tại N Stepbystep explanation 5/x 3/y = 1 => 5y 3x = xy 3/2x 2/3y = 5 multiplying by 6xy both sides => 9y 4x = 30xy => 9y 4x = 30 (5y 3x) => 9y 4x = 150y



2 X 2 3y 1 6 2 X 1 Y 1 Solve By Reducing Them To Pairs Of Linear Equations Please Maths Simultaneous Linear Equations Meritnation Com



Use Cramer S Rule To Solve Each System Of Equations Chegg Com
For solving pair of equation, in this exercise use the method of elimination by equating coefficients 3 (x 5) = y 2 2 (x y) = 4 3yStep by step solution of a set of 2, 3 or 4 Linear Equations using the Substitution Method x=3y5;3y2x=5 Tiger Algebra SolverSolve your math problems using our free math solver with stepbystep solutions Our math solver supports basic math, prealgebra, algebra, trigonometry, calculus and more



Answers



5x 3y 8 0 2x 3y 5 0 In Substitution Mothod Brainly In
5/x3/y=1 3/2x2/3y=5Solve your math problems using our free math solver with stepbystep solutions Our math solver supports basic math, prealgebra, algebra, trigonometry, calculus and moreIf 5^2x3 × 3^3y7 = 225 Find x^2y^2 Disclaimer The questions posted on the site are solely user generated, Doubtnut has no ownership or control over the nature and content of Explanation by appling the laws of exponents ∙ x(am)n = a(m×n) ← (1) ∙ xam ×an = a(mn) (1) is extended to include all factors inside the parenthesis ⇒ (5x2y3)2 = 5(1×2) ×x(2×2) ×y(3×2) × × × × = 52 × x4 × y6 = 25x4y6 ⇒ (2x3y4)3 = 2(1×3) ×x(3×3) ×y(4×3) × × × × = 23 × x9 × y12 = 8x9y12Solve your math problems using our free math solver with stepbystep solutions Our math solver supports basic math, prealgebra, algebra, trigonometry, calculus and more



Systems Of Linear Equations



Ex 4 6 13 Solve Linear Equations Using Matrix Method Ex 4 6
Transcript Ex 33, 1 Solve the following pair of linear equations by the substitution method (iv) 02x 03y = 13 04x 05y = 23 02x 03y = 13 04x 05y = 23 From (1) 02x 03y = 13 Multiplying both side by 10 (02x 03y ) ×10=13×10 2x 3y = 13 2x = 13 – 3y x = (𝟏𝟑 − 𝟑𝒚)/𝟐 Putting value of x in (2) 04x 05y = 23 04((13 − 3𝑦)/2) 05y = 233 2x 2 3y 5 1 5 X 3 Y 1 2 Question On Simultaneous Linear Equation Solve This By Reducible To Pair Of Equation Method And Cross Math Simultaneous Linear Equations Meritnation Com 3 2x 2 3y 5 5 X 3 Y 1 Brainly In #xy=3# #x=3y5# From the first equation, we can determine a value for #x# #color(red)(xy=3)# #color(red)(x=3y)# Substituting #x# with #color(red)((3y))# in the second equation, we get #x=3y5# #3y=3y5# Add #5# to both sides #8y=3y# Add #y# to each side #8=4y# Divide both sides by #4# #2=y# or #y=2# Substituting #y# with #2# in the



If 3x 2y 10 And 2x 3y 15 Find The Value Of X Y Youtube



Systems Of Equations With Elimination 3y 4x 11 Y 2x 13 Video Khan Academy
Share It On Facebook Twitter Email 1 Answer 0 votes answered by AmirMustafa (600k points) selected by Vikash Kumar Best answer The given equations areEquation at the end of step 2 (((2•(x 0))•(y 2))3) 2x 3 y ———————————————————•———— 1 2x 3 y Step 3 2x 3 y Simplify ———— 2x 3 y Canceling Out 31 Canceling out x 3 as it appears on both sides of the fraction line Canceling Out 32 Canceling out y as it appears on both sides ofFirst type the equation 2x3=15 Then type the @ symbol Then type x=6 Try it now 2x3=15 @ x=6 Clickable Demo Try entering 2x3=15 @ x=6 into the text box After you enter the expression, Algebra Calculator will plug x=6 in for the equation 2x3=15 2(6)3 = 15 The calculator prints "True" to let you know that the answer is right More Examples



1 2 3x 4y 1 5 2x 3y 1 4 Amp 5 3x 4y 2 2x 3y 3 2 Problem Set 1 Q6 5 Youtube



The Lines 2x 3y 5 0 And 3x 4y 7 Are Diameters Of A Circle Of Area 154 49 Pi Sq Units Then The Equation Of The Circle Is
Click here👆to get an answer to your question ️ Solve by matrix method 2x 3y 3z = 5 x 2y z = 4 3x y 2z = 3Answer to 5x3y=2 By signing up, you'll get thousands of stepbystep solutions to your homework questions You can also ask your own homeworkA Power consists of two parts, (2X^2y^5)(6X^3y)(1/3X^1y^3) Exponent and Base, We are going to learn to identify components of a Power and to evaluate it Tiger Algebra Solver



3 Solve The System Of Equations 2x 3y 5x 3y 4 Chegg Com



5 X 3 Y 1 3 2x 2 3y 5 Find The Value Of X Y By Substitution Method To Be A Brainliest Brainly In
X y2=12 Maharashtra State Board SSC (English Medium) 10th Standard Board Exam Question Papers 238 Textbook Solutions Online Tests 39 Important Solutions 27 Question Bank Solutions 9046 Transcript Ex 36, 1 Solve the following pairs of equations by reducing them to a pair of linear equations (i) 1/2𝑥 1/3𝑦 = 2 1/3𝑥 1/2𝑦 = 13/6 1/2𝑥 1/3𝑦 = 2 1/3𝑥 1/2𝑦 = 13/6 Let 1/𝑥 = u 1/𝑦 = v So, our equations become 1/2 u 1/3 v = 2 (3𝑢 2𝑣)/(2 × 3) = 2 3u 2v = 12 1/3 u 1/2 v = 13/6 (2𝑢 3𝑣)/(2 × 3) = 13/6 2u 3v = 13 Our equationsSimple and best practice solution for 5(x1)=5(2x3) equation Check how easy it is, and learn it for the future Our solution is simple, and easy to understand, so



Reduce The Equation 2x 3y 5 0 To Slope Intercept Form And Find From It The Slope And Y Intercept Youtube



7 X 5 2x Y 4 3y 5 5y 7 2 4x 3 6 18 5x Solve Using Cross Multiplication Brainly In
Use the power rule, dy/dx = nx^ (x1) d y d x = n x x − 1 , on the first term 2x (3d (xy))/dx (d (y^2))/dx= (d (0))/dx 2 x 3 d ( x y) d x d ( y 2) d x = d ( 0) d x Use the product rule, (d (xy))/dx= dx/dxyxdy/dx = y xdy/dx d ( x y) d x = d x d x y x d y d x = y x d y d x X y=5 2x3y=5Question 1 Solve the following pair of linear equations by the elimination method and the substitution method (i) xy=5 and 2x 3y = 4 (i) 3x 4y = 10 and 2x 2y = 2 (iii) 3x 5y 4 0 and 9x = 2y 7Begin with 2x 3y = 5 Subtract 2x from each side3y = 5 2x Divide both sides by 3 y = 5/3 2x/3 Usually, you want to avoid leading your solution with a negative, so itFind X and Y if 2X 3Y = \(\begin{bmatrix} 2 & 3 \\ 4 & 0 \\ \end{bmatrix} \) and 3X 2Y = \(\begin{bmatrix} 2 & 2 \\ 1 & 5 \\ \end{bmatrix} \)



3 2x 2 3y 5 1 5 X 3 Y 1 2 Question On Simultaneous Linear Equation Solve This By Reducible To Pair Of Equation Method And Cross Maths Simultaneous Linear Equations Meritnation Com



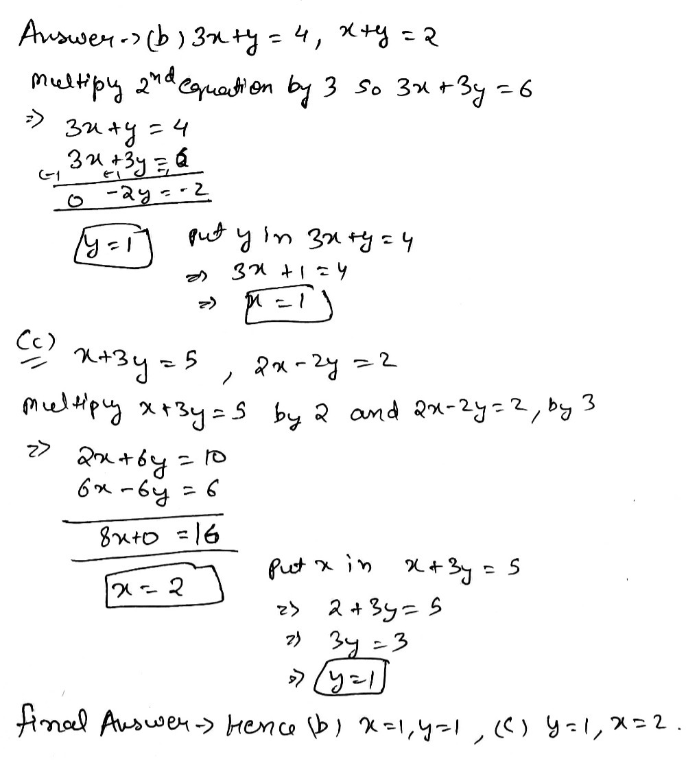
Solve X And Y 5 X 3 Y 1 And 3 2x 2 3y 5 Maths Pair Of Linear Equations In Two Variables Meritnation Com
11/4 (2x3y)/(3x2y)=2/5 Crossmultiplication gives, 10x15y=6x4y rArr 4x=11y rArrx/y=11/4 Another way to solve the problem, is, that, to suppose m for the reqd value, ie, m=x/y Then, we have, x=my We submit this x in the given eqn, to get, {2(my)3y}/{3(my)2y}=2/5X y=5 2x3y=5Question 1 Solve the following pair of linear equations by the elimination method and the substitution method (i) xy=5 and 2x 3y = 4 (i) 3x 4y = 10 and 2x 2y = 2 (iii) 3x 5y 4 0 and 9x = 2y 7Begin with 2x 3y = 5 Subtract 2x from each side3y = 5 2x Divide both sides by 3 y = 5/3 2x/3 Usually, you want to avoid leading your solutionRespuesta de 52 (1x)=2x3 Sumamos todos los\log _2(x1)=\log _3(27) 3^x=9^{x5} equationcalculator y=2x^{2}5x3 en Related Symbolab blog posts Middle School Math Solutions – Equation Calculator Welcome to our new "Getting Started" math solutions series Over the next few weeks, we'll be showing how Symbolab



X 3y 5 3x Y 5 Brainly In



Factor The Gcf 6x 4y 5 15x 3y 2 9x 2y 3
Solve your math problems using our free math solver with stepbystep solutions Our math solver supports basic math, prealgebra, algebra, trigonometry, calculus and moreSolve the Following Pair of Linear (Simultaneous ) Equation Using Method of Elimination by Substitution 2( X 3 ) 3( Y 5 ) = 0 5( X 1 ) 4( Y 4 ) = 0X = ()04 ⇒ x = (243/)4/10 = (243/)2/5 ⇒ x = ((243/)1/5)2 = (3/10)2 = 9/100 = 009 ਇਸੇ ਤਰ੍ਹਾਂ, y = ()06 ⇒ y



Search Q 2y 4 3y 2b2 3d 2 3 Tbm Isch



Answer 1 3 5 7 9 And 11 Show All Work Chegg Com
Y=3 (x5) (x2) Simple and best practice solution for y=3 (x5) (x2) equation Check how easy it is, and learn it for the future Our solution is simple, and easy to understand, so don`t hesitate to use it as a solution of your homework If it's not what You are looking for type in the equation solver your own equation and let us solve itAlgebra Graph y=5/3x2 y = − 5 3 x 2 y = 5 3 x 2 Rewrite in slopeintercept form Tap for more steps The slopeintercept form is y = m x b y = m x b, where m m is the slope and b b is the yintercept y = m x b y = m x b Write in y = m x b y = m x b form Tap for more stepsClick here👆to get an answer to your question ️ If 2x 3y = 5 and 3x 2y = 10 , then x y = Join / Login Question If 2 x 3 y = 5 and



Draw The Graph Of The Equation 2x 3y 5 From Your Graph Find I The Value Of Y When X 4 Ii The Value Of X When Y 3



X 2 Y 3 2x 3 3y 5 Brainly In
Solve the system of equations 2x − 5y = 3 x − 3y = 1 (4, 1) (5, 2) (7, 2) (9, 3) explain how you got your answer if you canIf \(y = \frac{{2x 1}}{{x 3}},\) find x when y = 1 A 4 B 4 C 3/2 D 4/3 Q14 If a 2b = 55 and a – 2b = 13, find the value of b A 21 B 14 C 17 D 192xy=5;x3y=6 Simple and best practice solution for 2xy=5;x3y=6 Check how easy it is, to solve this system of equations and learn it for the future Our solution is simple, and easy to understand, so don`t hesitate to use it as a solution of your homework If it's not what You are looking for type in the system of equations solver your



Search Q 2x 3 Y 3d9 3x 2b7 Y 3d2 Tbm Isch



1 2x 3y 4z 6 5x 3y Z 11 Z 1 3 2x Y Chegg Com
Solve your math problems using our free math solver with stepbystep solutions Our math solver supports basic math, prealgebra, algebra, trigonometry, calculus and more



Solve 5 X 3 Y 1 3 2x 2 3y 5 Maths Pair Of Linear Equations In Two Variables Meritnation Com



5 2x 2 3y 7 3 X 2 Y 12 Solve By Elimination Method Brainly In



A Expand The Following 1 X 3y 5 2 2a B 3 Chegg Com



The Lines 2x 3y 5 And 3x 4y 7 Are The Diameters Of A Circle Of Area 154 Sq Units Then The Equation Of The Circle Is X 2 Y 2 2x 2y 62 X 2 Y 2 2x 2y 47 X 2 Y 2 2x 2y 47 X 2 Y 2 2x 2y 62



Graph Graph Inequalities With Step By Step Math Problem Solver



7x 3y 1 0



Blogjpmbahebyvn コンプリート 2 X 3 Y 17 2 X 2 3 Y 1 5 50



Solving A System Of Equations Using A Matrix Precalculus Socratic



3 2x 2 3y 5 5 X 3 Y 1 Brainly In



Blogjpmbahebyvn コンプリート 2 X 3 Y 17 2 X 2 3 Y 1 5 50



Newton Diagram For 2x 5 X 3 Y 2 Xy 2 3y 5 Showing The Line M N Download Scientific Diagram



Answered 8 X Y 1 3 Y 2x 3y 5 Bartleby



Draw The Graph Of The Equation 2x 3y 5 And X Y 1 In The Same Graph Find The Co Ordinates Of The Point Of Intersection Of The Two Lines Own Classes



By Elimination Method Solve 3 2x 2 3y 5 5 X 3 Y 1 Brainly In



What Is The Solution For An Equation Of A Line Passing Through The Point Of Intersection Of 2x 3y 5 0 And 7x 5y 2 0 And Parallel To The Lines 2x 3y 14 0 Quora



3 Simplify 4 12 Solve For X 6 X 3y 5 Combine X 16 Chegg Com



Q Tbn And9gcsiggdhv5fw1mvrwy6npui8oe9vjy7ffnulpwxqmdm604bzyzap Usqp Cau



Solve The Equations X 3y 5 4 And Y 2x 7 27 Youtube



5 2 X 3 Iii Find The Solution Solve For The Chegg Com



Solve X Y 2 2x 3y 5 Brainly In



5x 8 Y 2 1 4 2x 3 3y 5 2 15 Gauthmath



Find The Value Of A So That The Point 3 A Lie On The Line 2x 3y 5



Draw The Graph Of The Equation 2x 3y 5 From The Graph Find I The Value Of Y When X 4 And Ii The Brainly In



Show Graphically That The System Of Linear Equations 2x 3y 5 6y 4x 3 Youtube



Matrices Solve These Simultaneous Equations Using The Chegg Com



1 Which Of The Following Systems Has The Solution Chegg Com



Solve For X And Y 1 7x 1 6y 3 1 2x 1 3y 5 Brainly In



2 X 3 3 Y 5 0 5 X 1 4 Y 4 0 Solve It By Substitution Method Brainly In



How Do You Solve 2x 3y 21 And 5x 4y 5 Socratic



If X 3 2x 2y 2 5x Y 5 0 And Y 1 1 Then A Y Prime 1 4 3 B Y 1 4 3 C Y 1 8 22 27 D Y Prime 1 2 3



How Do You Solve 2x 3y Z 1 3x Y 2z 12 And X 2y 3z 5 Socratic



Document



4 Y X 2 Y 2 Z 2 In Problems 15 42 Chegg Com



Y 3 4 3y 5 4 9 Y 6 3 Y 6 3 X 5 2 5 X 6 3 2x Chegg Com



Answered 4 2x 3y 5 Dx 3x Y 2 Dy Bartleby



Show That The System Of Linear Equations Graphically 2x 3y 5 6y 4x 3 Is Inconsistent I E Has No Solution Snapsolve



Ex 4 6 11 Solve Using Matrix Method 2x Y Z 1 X 2y Z 3 2 3y 5z 9



4x 3y 5 1 2x 6y 1 Ve Each System Of Li Ee Chegg Com



Solve For X And Y Linear Equations Using The Elimination Method 2x 6y 2 5x 3y 3 And 9x 3y 5 9x 4y 6 Homeworklib



If The System Of Equations 2x 3y 5 4x K Y 10 Has Infinitely Many Solutions Then Youtube



Ex 4 6 3 Examine Consistency X 3y 5 2x 6y 8 Ex 4 6



Http Www Berkeleycitycollege Edu Wp Wjeh Files 15 01 Algebra Answer System Eqn Pdf



Answered 27 0 1 0 0 1 2 3 0 0 1 3 0 29 10 1 Bartleby



Practice Problems Mat110 Chapter 9



3 2x 2 3y 5 5 X 3 Y 1 Solve For X And Y Youtube



5 X 3 Y 1 3 2x 2 3y 5 Brainly In



5x 3y 4 0 2x 3y 5 0 X Y 0 These Are Vertices Of Triangle The Scholr



Solve By Elimination Method X Y 5 2x 3y 5 Brainly In



3x 4y 10 4x 3y 5 Youtube



The Pair Of Linear Equations 2x 3y 5 And 4x 6y 10 Isa Inconsistentb Consistentc Dependent Consistentd None Of Thesecorrect Answer Is Option C Can You Explain This Answer Edurev Class 10 Question



Nu Uuiuliulis A 3x Y 3 X 4y 10 B 2x 3y 5 Chegg Com



1



Op B 3x Y 4 X Y 2 D X 3y 5 2x 2y 2 F X 1 5 Y 1 Gauthmath



Please Answer Questions 51 52 53 And Include All Work Thanks 3 58 Solve The System By Homeworklib



3x 2y 5 2 And 1 3 3y 4 3 Problem Set 1 Q5 3 Linear Equation In Two Variables Youtube



2x 3y 5 X 2y 3 0 How To Solve This Problem With Elimination Method Brainly In



Draw The Graph Of The Equations 2x 3y 5 And Check Whether Points 3 4 And 7 3 Are Solution Of The Given Equations



What Is The Solution For An Equation Of A Line Passing Through The Point Of Intersection Of 2x 3y 5 0 And 7x 5y 2 0 And Parallel To The Lines 2x 3y 14 0 Quora



Solve For X And Y 5 X 3 Y 1 3 2x 2 3y 5 Sarthaks Econnect Largest Online Education Community



Ex 4 6 3 Examine Consistency X 3y 5 2x 6y 8 Ex 4 6



M3u2d2 Warmup Solve The System 2x Y 5 3x 3y 3 2 1 Collect Warmups Ppt Download



Solution Solve Each System Of Inequalities By Graphing X 8 3y 12 1 2x 4 3y 5 I Tried X 8 3y 12 5x 4 3y 6 X X 5x 5x 3 8 3 Y X 12



Reduce The Line 2x 3y 5 0 I In Slope Intercept Form And Hence Find Slope And Y Intercept Ii In Intercept Form And Hence Find Intercepts On



Rd Sharma Solutions For Class 8 Chapter 9 Linear Equation In One Variable Download Free Pdf



Algebra Ppt Download



What Is The Slope And X Intercept Of The Line 2x 3y 5 0 Quora



4 1 2 2x 3y Z 3 X Y Z 5 Homeworklib



Solved Solve Each System Using Elimination 1 Xty 2 2 X 2y 3 3 2x Y 4 X Y 4 X Y 6 3x Y 2 4 X 2y 2 5 X 3y 3 6 X Course Hero



Show That The System Of Equations 2x 5y 17 5x 3y 14 Has A Unique Solution Find The Solution



Solve The Following Systems Of Equations 1 7x 1 6y 3 1 2x 1 3y 5 Sarthaks Econnect Largest Online Education Community



1 Fx 3x 4 2 2x 3y 5 3 Y 2x 5 4 Fx 3x 4 5 5 Gauthmath



Ii 2 3 4 Iv 5 4 6 I 2 3 9 2 Sketch The Chegg Com



Solving A System Of Equations Using A Matrix Precalculus Socratic



Activity 2 Find My Value Solve The Following Given Chegg Com



Solve Each System Of Equations I The System Has No Chegg Com



How To Plot 2x 3y 5 On A Graph Quora



What Is The Solution For An Equation Of A Line Passing Through The Point Of Intersection Of 2x 3y 5 0 And 7x 5y 2 0 And Parallel To The Lines 2x 3y 14 0 Quora



2 X 2 3y 1 6 And 3 X 2 Y 0 Problem Set 1 Q6 1 Of Linear Equation In Two Variables Youtube



If 3x 5y 9 And 5x 3y 7 Then Find The Value Of X Y Youtube



Question 12 7 5 Points 3 Listen Solve 5x 2y Chegg Com

